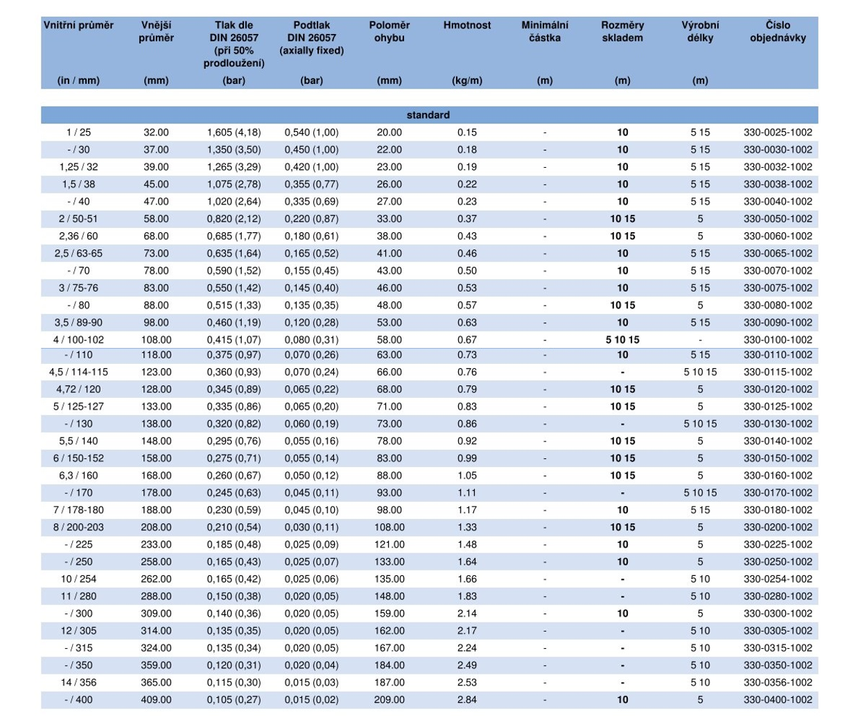
Antistatická hadica PROTAPE® PUR 330 AS STANDARD (LD)
APLIKÁCIE
- flexibilná hadica/ potrubie pre plyny a pre abrazívny prach, prášok, vlákna
- stroj na vŕtanie dosiek plošných spojov (PCB)
- odsávacia jednotka, odprašovací systém, filtračný systém, odsávanie olejovej hmly
- extrakčné rameno
- chemický priemysel: chemické výpary, hadica spätného toku pár na nakladacom ramene, laková para, odsávanie rozprašovacej hmly
- oblasť s nebezpečenstvom výbuchu
- stajňa pre zvieratá, maštaľ: vetranie v stodole
- vetranie čistých priestorov, stroj na výrobu polovodičov
- príprava povrchu: otryskanie pieskom napr. v otryskávacej komore, lodenici, odstraňovacom stroji, stroji na prípravu podláh, brúske
- vykurovacia hadica: vonkajšia hadica ako ochranná hadica
VLASTNOSTI
- ľahká a vystužená
- vysoko flexibilná + stlačiteľná 3:1
- odolná proti oderu
- odolná voči mikróbom
- dobrá odolnosť voči olejom, benzínu a chemikáliám
- veľmi dobrá flexibilita pri nízkych teplotách
- spomaľujúci horenie podľa: DIN 4102-B1
- spomaľuje horenie podľa: UL94-HB
- trvalo antistatická stena: podľa ISO 8031 elektrický a povrchový odpor <10⁹ Ω (podľa NFPA 652 10⁸-10⁹ Ω)
- v súlade s ATEX 2014/34/EU (1999/92/EC) a nemeckým TRGS 727: odsávanie horľavého prachu (zóna 22 vnútri), na dopravu nehorľavých kvapalín, pre použitie v zóne 1 a 2 (plyny)
- zodpovedá bezpečnostným predpisom Nemeckej asociácie obchodu s drevom
- vyhovuje smernici RoHS
- REACH podľa --> Technológia / Technické informácie / REACH
ROZSAH TEPLÔT
- -40 °C až 90 °C
- krátkodobo do 125°C
VARIANTY DORUČENIA
- ďalšie priemery a dĺžky na vyžiadanie
- transparentný (štandardný)
- špeciálne farby: čiastočne zafarbené, úplne zafarbené
- branding špecifický pre zákazníka
DIZAJN
- Pásková hadica PROTAPE ®
- 1. drôt z pružinovej ocele integrovaný v stene
- 2. stena: trvalo antistatický prémiový ester-polyuretán (Pre-PUR ® )
- 3. hrúbka steny cca 0,6 mm.

Buďte prvý, kto napíše príspevok k tejto položke.
Pridať komentár
